隨著水質分析技術的不斷發展,比色法多參數水質分析儀被廣泛應用于環境污染中的水質分析、工業生產中的廢水水質分析。通過對比色法多參數水質分析儀的校準,可以很好地控制在使用比色法多參數水質分析儀進行實驗分析過程中帶來的分析誤差。結合平時的工作積累,就比色法多參數水質分析儀計量特性校準方法進行討論。
比色法多參數水質分析儀是根據光電比色原理來測量液體中某種特定化學成分的儀器,被廣泛應用于微量組分的測定,通常測定含量在10~ 10mg/L的痕量組分。近年來由于新的特效有機顯色劑和絡合掩蔽劑不斷被采用,可以在未經分離條件下直接進行比色測定,使得其分析范圍更加廣泛, 分析效率更高。
目前,實驗室使用的比色法多參數水質分析儀都是依據物質分子對可見光產生的特征吸收光譜及光吸收定律(朗伯- 比爾定律)的原理,用未知濃度樣品與已知濃度標準物質比較的方法進行定量分析。
朗伯-比爾定律的表達式見公式(1):
A=lg(1/T)=Kbc
式中:A——物質的吸光度;
T——物質的透射比;
a——物質的吸收系數;
b——光路長度;
c——物質的量濃度。
多參數水質分析儀各項技術指標見表1
表1多參數水質分析儀的主要技術指標
(1)儀器室內無強烈的機械振動和電磁電場干擾,無強光直射,不得存放與實驗無關的易燃、易爆和強腐蝕性氣體或試劑;
(2)實驗室溫度:15~35℃;
(3)實驗室濕度:≤80%RH。
(1)重鉻酸鉀:純度標準物質;
(2)氯化鈷:標準溶液;
(3)硫酸銅:分析純級。
(1)移液管:1m L ;
(2)容量瓶:100m L ;
(3)干燥箱:測量范圍0~300℃;
(4)分析天平:測量范圍0~200g;
(5)可見光透射比標準濾光片:測量范圍透射比10%、 20%、30%。
儀器不能有外觀缺陷,按鍵開關、調節旋鈕等個部件工作正常。
儀器在不受光的條件下,調節儀器至零點,觀察3min內透射比示值的最大變化,即為零點穩定度。
儀器校正零點后,打開光門,使接收元件受光,將儀器透射比調至100% 或吸光度0.000Abs處,觀察3min內透射比或吸光度示值的最大變化,即為光電流穩定度。如儀器僅有濃度顯示,觀察濃度變化值。
當已知儀器的測量波長并有透射比或吸光度顯示時,儀器調好光電流后,用可見透射比標準濾光片進行測量,測量3次,其平均值與標準值之差為其示值誤差。如儀器僅有濃度顯示,此步可省略。
根據測量不同物質,查相關資料確定其大概波長范圍, 配制其相關對應有吸收的系列溶液,各濃度溶液重復測量3次, 取其平均值。按線性回歸法求出工作曲線的截距和斜率,并列出工作曲線的直線方程(2),按公式(3)計算第i點按直線方程計算測得值,按公式(4)計算儀器的線性示值誤差, 取誤差最大值為儀器的線性示值誤差。
直線方程:Ai=a+bxi(2)
a——斜率;
b——截距;
xi——第i點按直線方程計算測得值;
xsi——第i點標準濃度值;
△ xi——第i點測得值的誤差。
根據測量不同物質,查相關資料確定其大概波長范圍, 配制其相關對應有吸收的的系列溶液,各濃度溶液重復測量3次,取其平均值。用最小二乘法對曲線進行處理,得到線性相關系數。
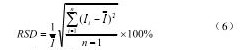
用其中一個可見光區透射比濾光片連續測量6次,其最大值與最小值之差為吸光度重復性RA或透射比重復性RA。或用其波長下的中間濃度溶液連續測量6次,計算相對標準偏差(RSD)作為重復性。RA按公式(5)或相對標準偏差(RSD) 按公式(6)計算:
式中:A最大——吸光度或透射比最大值;
A最小——吸光度或透射比最小值。
式中:RSD——相對標準偏差;
I_i——單次測量值;
I——測量平均值;
n——測量次數。
通過對比色法多參數水質分析儀的校準可以很好地控制在使用比色法多參數水質分析儀進行實驗分析過程中帶來的分析誤差,提高實驗數據的真實性和準確性。
比色法多參數水質分析儀的校準一般委托有相應資質的第三方校準機構進行校準。一般校準周期不超過1a。儀器使用維護人員可根據實際使用情況對周期進行調整。在更換重要部件、維修或對儀器性能有懷疑時,應隨時校準。
備案號:蘇ICP備09077621號
©2009-2023 無錫點創科技有限公司版權所有
